- 详细阅读
-
光年宇宙的尺度与人类的渺小详细阅读
#######引言在探索宇宙的浩瀚时,我们常常会遇到一个单位——光年。这个单位不仅代表了距离,更是一种时间和空间的深刻体现。光年,这个看似简单的词汇,却蕴含着宇宙的广阔与人类的渺小。####光年的定义...
2024-05-31 328 光年多少米是怎么计算出来的 光年是多长的距离? 光年是多少米
-
文心舔狗日记生成器探索AI在社交媒体文案创作中的应用与影响详细阅读
###在数字化时代,人工智能(AI)技术的应用已经渗透到我们生活的方方面面,尤其是在社交媒体领域。近期,一款名为“文心舔狗日记生成器”的AI工具在网络上引起了广泛关注。这款工具能够根据用户输入的简单指...
2024-05-31 760 玄星科技
-
鸿蒙2.0开始推送,华为OS首次登陆手机,亮点槽点都在这里详细阅读
华为系列推送马里亚纳版升级:优化相机性能,提升用户体验近期,华为发布了其马里亚纳版的最新升级,这一更新主要针对相机性能进行了显著优化,同时提升了系统的流畅性和稳定性。根据最新的日志显示,这次升级对相机...
2024-05-31 549 鸿蒙开始推送华为首次登陆手机亮点槽点都在这里
-
飞腾打造最轻大国重器详细阅读
新质生产力构建天津市的飞腾公司,致力于打造最轻大国重器,通过引进先进的生产技术和工艺创新来提升生产力。对于新质生产力的构建,飞腾公司可以关注以下几个方面:数字化生产利用工业互联网和智能制造技术,实现生...
2024-05-31 980
- 详细阅读
-
win10三大技巧其中win10win11系统卡死不一定强制重启详细阅读
手机同步更新:微软件应用版即将推出在数字化时代,手机已成为我们生活中不可或缺的一部分。随着技术的不断进步,手机的功能也在不断扩展和更新。最近,微软件宣布其应用版本即将推出,这一新功能将允许用户从安全手...
2024-05-31 1.1K+ 三大技巧其中系统卡死不一定强制重启
-
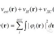
势场中的微观粒子演化薛定谔方程的解析之旅详细阅读
###在量子力学的世界里,微观粒子的行为与经典物理学中的粒子截然不同。它们不再遵循牛顿的运动定律,而是受到薛定谔方程的支配。《张朝阳的物理课》深入探讨了这一主题,特别是微观粒子在势场中的演化过程。本文...
2024-05-31 705
- 详细阅读
-
离线定位黑科技带来全方位守护,华为儿童手表5xpro评测详细阅读
华为儿童手表评测:安全守护的科技力量在过去的五一假期,我也经历了一次长途自驾旅行,前往东北探访朋友。途中发生的一件小事让我印象深刻,朋友的孩子们点名要我帮忙选购一台华为儿童手表,我问他们为什么,他们说...
2024-05-31 588 离线定位黑科技带来全方位守护华为儿童手表评测
